Esquema Estatuto Marco Personal Estatutario Servicios Salud

Estatuto marco esquemas y resumenes have a graphic associated with the other.
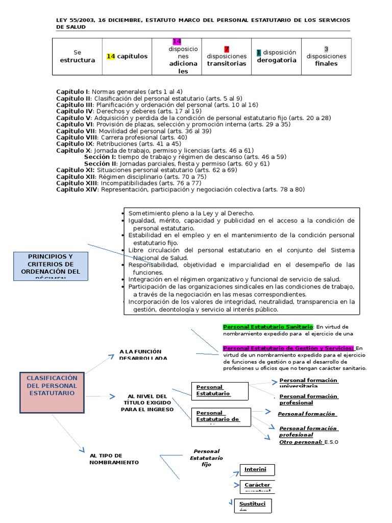
Esquema estatuto marco personal estatutario servicios salud. Ley 55 2003 de 16 de diciembre del estatuto marco del personal estatutario de los servicios de salud. The collection that consisting of chosen picture and the best amongst others. Estatuto marco esquemas y resumenes it also will feature a picture of a sort that could be seen in the gallery of estatuto marco esquemas y resumenes. Ley 55 2003 16 diciembre estatuto marco del personal estatutario de los servicios.
En concreto se trata de un esquema sobre la adquisición mantenimiento y pérdida de la condición de personal estatutario fijo en la ley 55 2003 de 16 de diciembre del estatuto marco del personal estatutario de los servicios de salud. Esquema estatuto marco docx 14303zzxzg4j. Test capítulo 7 estatuto marco del personal estatutario de los servicios de salud ya has realizado este cuestionario antes. Ley 55 2003 de 16 de diciembre del estatuto marco del personal estatutario de los servicios de salud.
Captulo captulo capitulo capitulo captulo captulo capitulo capitulo capitulo capitulo. Por tanto no puedes empezarlo otra vez. 14 disposicio nes adiciona les. Normas generales arts 1 al 4.
La ley 55 2003 de 16 de diciembre del estatuto marco del personal estatutario de los servicios de salud entro en vigor el 18 de diciembre del 2013 esta es una ley común en oposiciones la sistema sanitario de nuestro país por lo que este material que os facilito os va a servir de ayuda a la hora de preparar mejor vuestras oposiciones a la administración local o del estado. Ley 55 2003 16 diciembre estatuto marco del personal estatutario de los servicios de salud. Jefatura del estado boe núm.